Product Summary
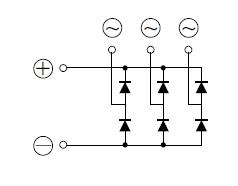
The DF20CA160 is a Power Diode Module designed for three phase full wave rectification, which has six diodes connected in a three phase bridge configuration. The mounting base of the module is electrically isolated from semiconductor elements for simple heatsink construction output DC current is 20Amp (Tc=123℃.) Repetitive peak reverse voltage is up to 1,600V. The applications of the DF20CA160 include AC. DC Moter Drive/AVR/Switching for three phase rectification.
Parametrics
DF20CA160 absolute maximum ratings: (1)VRRM, Repetitive Peak Reverse Voltage: 1600V; (2)VRSM, Non-Repetitive Peak Reverse Voltage: 1700V; (3)ID, Output current (D.C.), Three phase. full wave. TC=123℃: 20 A; (4)IFSM, Surage Forward Current 1 cycle, 50/60HZ, peak value, non-repetitive: 550/600 A; (5)Tj, Junction Temperature: -40 to +150℃; (6)Tstg, Storge Temperature: -40 to +125℃; (7)VISO, Isolation Breakdown Voltage(R.M.S) Main Terminal to case 1minute: 2500 V.
Features
DF20CA160 features: (1)IFSM=550/600A(50/60Hz); (2)TjMax=150℃; (3)Isolated Mounting Base; (4)High reliability by unique glass passivation; (5)Easy Assemble by the #250 terminal Tab.
Diagrams

| Image | Part No | Mfg | Description | ![]() |
Pricing (USD) |
Quantity | ||||||
|---|---|---|---|---|---|---|---|---|---|---|---|---|
![]() |
![]() DF20CA160 |
![]() Other |
![]() |
![]() Data Sheet |
![]() Negotiable |
|
||||||
| Image | Part No | Mfg | Description | ![]() |
Pricing (USD) |
Quantity | ||||||
![]() |
![]() DF20 |
![]() Other |
![]() |
![]() Data Sheet |
![]() Negotiable |
|
||||||
![]() |
![]() DF2005-G |
![]() |
![]() RECTIFIER BRIDGE 2.0A 50V DF |
![]() Data Sheet |
![]()
|
|
||||||
![]() |
![]() DF2005S-G |
![]() |
![]() RECTIFIER BRIDGE 2.0A 50V DF |
![]() Data Sheet |
![]()
|
|
||||||
![]() |
![]() DF2005ST-G |
![]() |
![]() RECTIFIER BRIDGE 2.0A 50V DF |
![]() Data Sheet |
![]()
|
|
||||||
![]() |
![]() DF200AA120 |
![]() Other |
![]() |
![]() Data Sheet |
![]() Negotiable |
|
||||||
![]() |
![]() DF200AA160 |
![]() Other |
![]() |
![]() Data Sheet |
![]() Negotiable |
|
||||||
(China (Mainland))









